
XiMo has developed a new process to encapsulate various molybdenum or tungsten based metathesis catalysts in paraffin, enabling all organic chemists to perform Mo/W based olefin metathesis on the bench, and eliminating the need for a glove-box. Our scientists demonstrated the power of this approach on two catalysts and four benchmark substrates.
We published the first results here:
Molybdenum- and tungsten-based olefin metathesis catalysts have demonstrated excellent results in the control of cis (Z-) selectivity as well as enantioselectivity (Yu et al. Nature 2011, 479, 88). However, their air and moisture sensitivity, which requires the use of a glove-box, has prevented their widespread use by organic chemists.
Now we report on preweighed Mo catalysts formulated in paraffin tablets. Paraffin wax is particularly attractive as a protective matrix or carrier for reagents since it releases the active ingredients upon melting and/or dissolution in appropriate solvents. Our procedure, in which the metathetically active Mo-complexes are perfectly dissolved or dispersed in melted macrocrystalline paraffin before formulation leads to homogeneous, preweighed paraffin droplets (pellets), containing predetermined, constant amount of active ingredient.
Using these pellets/tablets metathesis is no more a “glove-box reaction”! The pellets are stable in the air at least for 4 hours, enabling these reactions to run on the open bench of a standard organic chemistry lab. (Nevertheless, Schlenk technique or inert gas protection is still required for running the reactions.)
The utility of the paraffin formulated air-stable Mo catalysts is demonstrated in ring closing metathesis as well as cross metathesis experiments:

The applied catalyst loadings varied between 0.3 and 5 mol% while in many cases the conversion reached or exceeded 90% within 2-4 hours. Separation of paraffin matrix from the product was easy by reverse phase column chromatography.
For the Mo catalyst pellets/tablets visit our webshop! The following air-stable molybdenum and tungsten catalyst tablets are available:
It is important to note that the formulated complexes are exactly identical to those unformulated catalysts described previously in the literature.
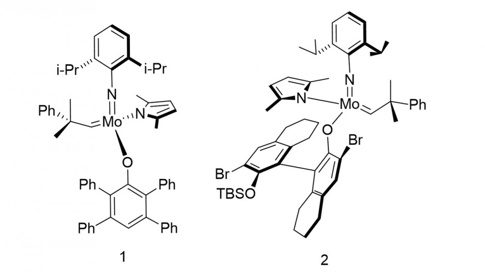
The active catalyst of XiMoPac-Mo001 (1) is the first high oxidation state complex that efficiently catalyzes enyne ring closing metathesis (RCM) reactions, affording the corresponding endo products with high selectivity. (see JACS, 2009, 131(30), 10652-10661).
Furthermore, the active catalyst of XiMoPac-Mo003 (2) was reported to be among the best catalysts to promote catalytic Z-selective cross-metathesis of terminal enol ethers, and allylic amides. (see Nature 2011, 471, 461.)

We would like to draw your attention to the fact that the formulated air-stable complexes (pellets, tablets) XiMoPac-Mo001 and XiMoPac-Mo003 possess not only the same selectivity and activity as 1 or 2, but also the sensitivity of the neat complexes upon melting or dissolution of the pellets.
Thus, once the pellet is dissolved or melted, the conditions need to be dry and clean enough: dry inert protecting gas, dry solvent and pretreated (dried eg. with XiMoPac-Al001 – see below - or molecular sieves, purged etc.) substrate have to be present in the reaction vessel.
Furthermore, to carry out efficient olefin metathesis, catalyst poisoning impurities need to be eliminated from the substrate. For drying and effective, safe substrate pretreatment we highly recommend the non-pyrophoric and easy-to use triethyl aluminum paraffin pellets (called XiMoPac-Al001), also available through our webshop.